Каталог товаров
Steam Origin Разное Steam аккаунты Origin аккаунты Xbox аккаунты Базы данных Шаблоны для сайта Прогнозы на спорт Антивирусы WOT аккаунты Uplay аккаунты Warface аккаунтыПринимаем к оплате
Купить ИДЗ 9.1 – Вариант 11. Решения Рябушко А.П. |
|---|
|
Есть в наличии.
Цена:
90.00 руб.
|
|
В нашем магазине вы сможете купить ИДЗ 9.1 – Вариант 11. Решения Рябушко А.П. дешево и надежно. Оплата онлайн, любым удобным способом.
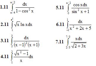
1. Вычислить определенные интегралы с точностью до двух знаков после запятой. (1-7) 2. Вычислить несобственные интегралы или доказать их расходимость: (1-2) |
|
Доп. информация
|
| Подробное решение. Оформлено в Microsoft Word 2003 (Задание решено с использованием редактора формул) |
|
Количество продаж товара - 2
|
|
Тип товара: Товар: файл (11v-idz9.1.doc,
168448 байтов)
|
|
Загружен - 05.02.2014 10:30:31
|
|
Продавец - Massimo86
|
|
Количество положительных отзывов: 0
|
|
Количество отрицательных отзывов: 0
|

