Каталог товаров
Steam Origin Разное Steam аккаунты Origin аккаунты Xbox аккаунты Базы данных Шаблоны для сайта Прогнозы на спорт Антивирусы WOT аккаунты Uplay аккаунты Warface аккаунтыПринимаем к оплате
Купить ИДЗ 8.3 – Вариант 9. Решения Рябушко А.П. |
|---|
|
Есть в наличии.
Цена:
70.00 руб.
|
|
В нашем магазине вы сможете купить ИДЗ 8.3 – Вариант 9. Решения Рябушко А.П. дешево и надежно. Оплата онлайн, любым удобным способом.
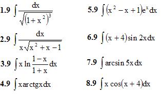
1. Найти неопределенные интегралы. (1-8) 8 примеров |
|
Доп. информация
|
| Подробное решение. Оформлено в Microsoft Word 2003 (Задание решено с использованием редактора формул) |
|
Количество продаж товара - 5
|
|
Тип товара: Товар: файл (9v-idz8.3.doc,
163840 байтов)
|
|
Загружен - 28.01.2014 10:37:11
|
|
Продавец - Massimo86
|
|
Количество положительных отзывов: 0
|
|
Количество отрицательных отзывов: 0
|

